技術基盤(研究開発)
技術基盤(研究開発)
●抽出技術
昭和化工㈱では日本国内で唯一天然物からL-酒石酸を製造しています。原料にワイン醸造時に生成する生酒石を用い、独自の抽出技術により酒石酸粗体を取り出しています。そのままの状態では天然由来の金属分が多量に含まれているため、酸・アルカリを適切に組み合わせて溶解・ろ過を繰り返すことにより精製していきます。こうして得られた酒石酸はそのままで製品としてお客様に提供されるほか、さらに対イオン交換を行うことにより各種塩類への誘導も行っています。この対イオン交換技術を活用し、高純度の乳酸塩の製造も行っています。

●有機合成技術
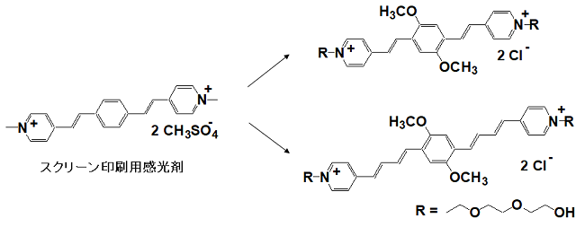
染料製造で培ってきたアゾ化合物、そしてチアゾール骨格やイミダゾール骨格などのヘテロ環化合物の緻密かつスケーラブルな合成技術を駆使して、医薬中間体やスクリーン印刷用感光剤、二色性色素といったファインケミカル製品を生み出しています。

下記の物質を原料・副原料とした製造を行っていることも大きな特徴です。塩化シアヌルからは芳香族求核置換反応によるトリアジン誘導体の合成、二硫化炭素 (CS2) からのイミダゾール誘導体の合成、また塩化チオニル (SOCl2) を用いた酸塩化物の製造などが可能です。

産学共同でスクリーン印刷用感光剤の合成技術を用いて新規の蛍光物質の研究を行っています。これらの化合物は水溶性が高いことが大きな特徴であり、生体の染色を目的として開発されました。成果は学術論文 [1] および特許 [2] として発表しています。

[1] Onishi, S.; Suzuki, Y.; Ano, H.; Kawamata, J. Bull. Chem. Soc. Jpn. 2020, 93, 1226-1233.
[2] 川俣 純、鈴木康孝、大西省三、古賀 訓、阿野 光、2021、特開2021-85022.
●無機合成技術
昭和化工㈱では錫の地金から各種無機錫化合物、またチタン化合物等を製造しています。
これらの材料は、電子材料、導電性材料、メッキ、窯業など幅広い分野で使用されており、新たな用途開発にも力を注いでいます。

●脱メタル技術
精密電子産業に用いられる材料には極めて高い純度が求められ、そのレベルも年々高まっています。昭和化工㈱では半導体製造時の洗浄剤として利用される EL-有機酸の製造を行っています。酒石酸やクエン酸などのキレート作用による金属捕集が鍵となっています。精密電子産業に用いるには含まれているメタルの量に厳しい基準が設けられています。これに対応するために弊社では3基のイオン交換水製造装置を設置し、イオン交換樹脂を用いて不要なメタルを除いています。技術もさることながら、原料となる有機酸を独自に製造できることが大きな強みでもあります。

研究開発を支える中間実験工場
研究開発を支え様々な開発品の工業化技術を確立するのが、二つの多目的中間実験工場です。第1工場は1985(昭和60)年に、第2工場は1989(平成元)年にそれぞれ建設されました。これらの工場は月産数キロから数トン規模までの生産が可能な各種設備・機器を備えており、年毎に増強、充実を図っています。
環境と安全への配慮
弊社では多種多様な原材料を使用しています。その中には塩化シアヌルや二硫化炭素など取扱いに細心の注意を必要とする物質も少なくありません。製造工程中の作業環境と従業員の安全確保だけでなく、地域と地域住民の皆様に対しても研究開発の段階から配慮を行って取り組んでいます。
